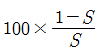
생재비중(S)을 알고 있는 목재의 최저함수율을 구하는 식은?
지금 시작하기 →

・・・ 문제은행 임산가공기사(2016년) 5번

임산가공기사 2016년 10월 5번

생재비중(S)을 알고 있는 목재의 최저함수율을 구하는 식은?

1
2
3
4
단축키
이전 문제로 이동은 키를 누르고, 다음 문제로 이동은 키를 누르세요
이전 문제 , 다음 문제
문제(100)
49 셀룰로오스는 D-glucopyanose 잔기로 구성된 고분자 물질이다. 다음 중 셀룰로오스의 잔기 연결 방식은? 50 침엽수재의 주요 헤미셀룰로오스(hemicellulose)로서 가장 많은 양이 분포하고 있으며 산으로 쉽게 분해할 수 있는 것은? 51 D-glucose는 분자 내 헤미아세탈을 형성하여 pyranose환으로 전환된다. 이때 분자 내 결합에 참여하는 glucose의 탄소 번호는? 52 셀룰로오스의 산화반응에서 있어서 C2와 C3사이를 개열시키면서 dialdehyde형 구조를 새로 형성시키는 산화제는? 53 목재 중에 존재하는 방향족 화합물을 옳게 조합한 것은? 54 어떤 용기 중에 다음과 같은 셀룰로오스 시료가 혼합되어 있다. 이 셀룰로오스의 과 는 약 얼마인가? 55 함수율이 10%인 목분 시료 2g을 유기용매로 추출하였더니 0.03g의 추출물이 얻어졌다. 이 시료의 유기용매 추출물의 함량은 얼마인가? 56 리그닌에 대한 설명으로 틀린 것은? 57 2분자의 페닐프로파노이드(phenylpropanoid)가 측쇄 위치의 탄소 간에 결합한 C6-C3-C3-C6골격으로 이루어진 화합물군을 무엇이라 하는가? 58 셀룰로오스의 유도체 및 그의 용도를 서로 연결시킨 것으로 옳지 않은 것은? 59 목재의 원소 조성 중 탄소:수소:산소의 비를 옳게 나타낸 것은? 60 침엽수재 리그닌을 구성하는 대표적인 기본 단위를 나타내는 그림은?
App Store Google Play
오늘학습 예시 이미지

시험에 합격하려면
복습을 제대로 해야 합니다.

오늘학습은 스스로 기억을 떠올리고 계획적으로 복습할 수 있도록 설계돼 있어요.
그것도, 가장 과학적인 방식으로요!

능동적 회상

능동적 회상
(Active Recall)

배운 내용을 단순 읽으며 반복하는 것이 아니라,
능동적으로 기억하고 있는지를
스스로 테스트하며
공부할 수 있는
학습 환경을 제공해 학습 효과를 높여요

간격 반복 학습

간격 반복 학습
(Spaced Repetition)

에빙하우스 망각곡선을 바탕으로
가장 최적의 시점에 복습을 제공하여
배운 내용이 잊히지 않도록 장기 기억화해요

Data 기반의
뇌과학적 복습 시스템

학습 결과 Data를 분석해, 문제별 최적화된
반복 학습량을
자동으로 분배해요.
학습에 소요되는 시간을 최소화하는
동시에
단기 기억을 장기 기억으로 전환해줘요.

36만 개 이상의
기출문제 무료 제공

공무원 및 약 300여종의 자격증 시험 기출문제
36만개
이상을 무료로 이용할 수 있어요.
여러 앱을 설치할 필요
없이, 오늘학습 하나로
모든 시험을 준비할 수 있어요.

다양한 문제 유형으로 만드는
나만의 단어장&문제집

기출 외에도 외워야 하는 내용은
객관식, 주관식, 카드, 빈칸
등 다양한 형식으로
직접 만들어 보세요. 내 학습 스타일에
맞게
나만의 단어장과 문제집을 만들 수 있어요.

시험별 체계적인
문제 관리

시험에 문제를 추가해 체계적으로
관리할 수 있어요.
주제나 단원별로
분류하고 싶다면,
시험에 챕터를 만들어
문제를 추가할 수도 있어요.

수십만 명이
오늘학습을 사랑합니다

앱 스토어 평점 4.9
구글 플레이 평점 4.8
누적 회원수 100,000+
지금 오늘학습을
시작해보세요
지금 시작하기
문제 선택