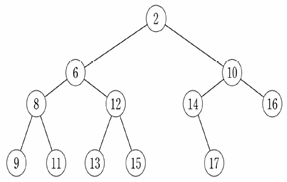
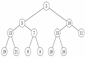
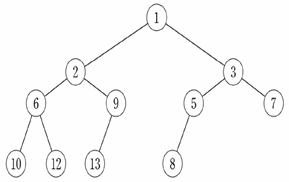
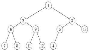
최소 힙(min heap)에 해당하는 것은?
지금 시작하기 →

・・・ 문제은행 소방공무원(경력) 컴퓨터일반(2026년) 22번

소방공무원(경력) 컴퓨터일반 2026년 03월 22번

최소 힙(min heap)에 해당하는 것은?

1
2
3
4
단축키
이전 문제로 이동은 키를 누르고, 다음 문제로 이동은 키를 누르세요
이전 문제 , 다음 문제
문제(40)
13 프로그래밍 언어에 대한 설명으로 옳지 않은 것은? 14 다음 C 프로그램의 출력 결과로 옳은 것은? 15 다음 C 프로그램의 출력 결과로 옳은 것은? 16 CPU 스케줄링에서 디스패치(dispatch)에 대한 설명으로 옳은 것은? 17 다음 표는 단일 CPU에 진입한 프로세스의 도착 시간과 처리하는 데 필요한 실행 시간을 나타낸 것이다. 규정 시간량이 10인 라운드 로빈 알고리즘으로 스케줄링할 때, 평균 대기시간으로 옳은 것은? (단, 프로세스간 문맥교환에 따른 오버헤드는 무시하며, 주어진 5개의 프로세스 외에 처리할 다른 프로세스는 없다고 가정한다.) 18 다음과 같은 특징을 갖는 메모리 할당 방법으로 옳은 것은? 19 CPU를 거치지 않고 입출력 장치와 메모리 간에 데이터를 전송하는 입출력 방법으로 옳은 것은? 20 다음 알고리즘의 시간복잡도를 빅오(O) 표기법으로 표현한 것은? (단, n > 0) 21 다음 이진 트리를 중위 순회(inorder traversal)할 때 마지막 방문 노드로 옳은 것은? 22 최소 힙(min heap)에 해당하는 것은? 23 다음과 같이 선언된 배열을 행 우선(row major) 순서로 저장하는 경우 원소 arr[3][3]의 주소로 옳은 것은? (단, char의 크기는 1바이트이고, 배열 arr의 시작 주소는 3,000이라고 가정한다.) 24 다음 그래프의 정점 A에서부터 시작하여 너비우선탐색을 수행할 때, 방문 순서로 옳은 것은? (단, 방문하지 않은 인접 정점이 2개 이상인 경우 알파벳 오름차순으로 방문한다.)
25 DIKW 계층 구조에서 관찰 또는 측정으로 수집된 사실이나 값을 지칭하는 용어는? 26 관계 데이터 모델에서 릴레이션의 특징으로 옳지 않은 것은? 27 데이터 관리를 위한 파일 시스템의 문제점으로 옳지 않은 것은? 28 음성 데이터의 주파수를 4 kHz 이내로 제한하여 이를 Nyquist 대역폭에 따라 디지털로 변조하여 전송하고자 한다. 각 샘플(sample)을 4비트로 표현한다면, 최대 전송률로 옳은 것은? 29 OSI 참조 모델의 전송 계층(transport layer) 프로토콜로 옳은 것은? 30 다음에서 ㉠~㉢에 해당하는 내용으로 모두 옳은 것은? 31 주로 2.4 GHz, 5 GHz 등의 대역을 사용하며, 버전에 따라 사용되는 주파수뿐만 아니라 전송 속도, 대역폭, 전송 가능한 거리, 변조 방식 등이 달라지는 대표적인 무선랜 표준으로 옳은 것은? 32 QAM(Quadrature Amplitude Modulation)에서 변조되는 두 가지 특성으로 옳은 것은? 33 파이프라이닝 기법을 활용하여 여러 세그먼트를 전송하고, 도중에 잘못 전송된 세그먼트가 발생하면 해당 세그먼트부터 전부 다시 전송하는 ARQ 방식으로 옳은 것은? 34 리눅스에서 로그인 계정 이름, 로그인한 환경, 로그인한 디바이스, 로그인한 셸(shell)의 프로세스 ID 등을 기록하는 로그로 옳은 것은? 35 다음에서 설명하는 HTTP Request 메서드(method)로 옳은 것은? 36 인터넷을 이용한 공격 유형 중 사용자가 자신의 브라우저에서 정확한 웹페이지 주소를 입력해도 가짜 웹페이지에 접속하게 하여 개인 정보를 훔치는 공격 방법으로 옳은 것은?
App Store Google Play
오늘학습 예시 이미지

시험에 합격하려면
복습을 제대로 해야 합니다.

오늘학습은 스스로 기억을 떠올리고 계획적으로 복습할 수 있도록 설계돼 있어요.
그것도, 가장 과학적인 방식으로요!

능동적 회상

능동적 회상
(Active Recall)

배운 내용을 단순 읽으며 반복하는 것이 아니라,
능동적으로 기억하고 있는지를
스스로 테스트하며
공부할 수 있는
학습 환경을 제공해 학습 효과를 높여요

간격 반복 학습

간격 반복 학습
(Spaced Repetition)

에빙하우스 망각곡선을 바탕으로
가장 최적의 시점에 복습을 제공하여
배운 내용이 잊히지 않도록 장기 기억화해요

Data 기반의
뇌과학적 복습 시스템

학습 결과 Data를 분석해, 문제별 최적화된
반복 학습량을
자동으로 분배해요.
학습에 소요되는 시간을 최소화하는
동시에
단기 기억을 장기 기억으로 전환해줘요.

36만 개 이상의
기출문제 무료 제공

공무원 및 약 300여종의 자격증 시험 기출문제
36만개
이상을 무료로 이용할 수 있어요.
여러 앱을 설치할 필요
없이, 오늘학습 하나로
모든 시험을 준비할 수 있어요.

다양한 문제 유형으로 만드는
나만의 단어장&문제집

기출 외에도 외워야 하는 내용은
객관식, 주관식, 카드, 빈칸
등 다양한 형식으로
직접 만들어 보세요. 내 학습 스타일에
맞게
나만의 단어장과 문제집을 만들 수 있어요.

시험별 체계적인
문제 관리

시험에 문제를 추가해 체계적으로
관리할 수 있어요.
주제나 단원별로
분류하고 싶다면,
시험에 챕터를 만들어
문제를 추가할 수도 있어요.

수십만 명이
오늘학습을 사랑합니다

앱 스토어 평점 4.9
구글 플레이 평점 4.8
누적 회원수 100,000+
지금 오늘학습을
시작해보세요
지금 시작하기
문제 선택