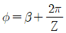
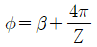
사일런트 체인전동장치의 스프로킷 휠에서 1개의 양면이 이루는 각은 ø이고, 체인 링크의 양끝 경사면이 이루는 각을 β라고 할 때 ø와 β의 관계식으로 옳은 것은? (단, Z는 휠의 잇수이다.)
지금 시작하기 →

・・・ 문제은행 철도차량기사(2020년) 43번

철도차량기사 2020년 06월 43번

사일런트 체인전동장치의 스프로킷 휠에서 1개의 양면이 이루는 각은 ø이고, 체인 링크의 양끝 경사면이 이루는 각을 β라고 할 때 ø와 β의 관계식으로 옳은 것은? (단, Z는 휠의 잇수이다.)

1
2
3
4
단축키
이전 문제로 이동은 키를 누르고, 다음 문제로 이동은 키를 누르세요
이전 문제 , 다음 문제
문제(100)
1 철도 레일의 온도가 50℃에서 15℃로 떨어졌을 때 레일에 생기는 열응력은 약 몇 MPa 인가? (단, 선팽창계수는 0.000012/℃, 세로탄성계수는 210 GPa 이다.) 2 그림과 같은 트러스 구조물에서 B점에서 10kN의 수직 하중을 받으면 BC에 작용하는 힘은 몇 kN인가? 3 동일한 길이와 재질로 만들어진 두 개의 원형단면 축이 있다. 각각의 지름이 d1, d2 일 때 각 축에 저장되는 변형에너지 u1, u2의 비는? (단, 두 축은 모두 비틀림 모멘트 T를 받고 있다.) 4 단면적이 4cm2인 강봉에 그림과 같은 하중이 작용하고 있다. W = 60kN, P = 25kN, ℓ = 20cm 일 때 BC 부분의 변형률 ε은 약 얼마인가? (단, 세로탄성계수는 200 GPa 이다.) 5 그림과 같이 양단에서 모멘트가 작용할 경우 A지점의 처짐각 θA는? (단, 보의 굽힘 강성 EI는 일정하고, 자중은 무시한다.) 6 그림의 평면응력상태에서 최대 주응력은 약 몇 MPa 인가? (단, σx = 175 MPa, σy = 35 MPa, τxy = 60 MPa 이다.) 7 그림과 같이 외팔보의 중앙에 집중하중 P가 작용하는 경우 집중하중 P가 작용하는 지점에서의 처짐은? (단, 보의 굽힘강성 EI는 일정하고, L은 보의 전체의 길이이다.) 8 원형 봉에 축방향 인장하중 P = 88kN이 작용할 때, 직경의 감소량은 약 몇 mm 인가? (단, 봉의 길이 L = 2m, 직경 d = 40mm, 세로탄성계수는 70 GPa, 포와송비 μ = 0.3 이다.) 9 그림과 같이 길고 얇은 평판이 평면 변형률 상태로 σx를 받고 있을 때, εx는? 10 그림과 같이 빗금 친 단면을 갖는 중공축이 있다. 이 단면의 O점에 관한 극단면 2차모멘트는? 11 외팔보의 자유단에 연직 방향으로 10kN의 집중 하중이 작용하면 고정단에 생기는 굽힘응력은 약 몇 MPa 인가? (단, 단면(폭×높이) b×h = 10cm×15cm, 길이 1.5m 이다.) 12 오일러 공식이 세장비 에 대해 성립한다고 할 때, 양단이 힌지인 원형단면 기둥에서 오일러 공식이 성립하기 위한 길이 “ℓ” 과 지름 “d” 와의 관계가 옳은 것은? (단, 단면의 회전반경을 k라 한다.)
13 직사각형 단면의 단주에 150kN하중이 중심에서 1m만큼 편심되어 작용할 때 이 부재 BD에서 생기는 최대 압축응력은 약 몇 kPa 인가? 14 지름 300mm의 단면을 가진 속이 찬 원형보가 굽힘을 받아 최대 굽힘 응력이 100MPa 이 되었다. 이 단면에 작용한 굽힘모멘트는 약 몇 kN·m 인가? 15 지름 D인 두께가 얇은 링(ring)을 수평면 내에서 회전 시킬 때, 링에 생기는 인장응력을 나타내는 식은? (단, 링의 단위 길이에 대한 무게를 W, 링의 원주속도를 V, 링의 단면적을 A, 중력가속도를 g로 한다.) 16 그림과 같은 균일 단면의 돌출보에서 반력 RA는? (단, 보의 자중은 무시한다.) 17 양단이 고정된 축을 그림과 같이 m-n단면에서 T만큼 비틀면 고정단 AB에서 생기는 저항 비틀림 모멘트의 비 TA/TB는? 18 그림과 같은 단면을 가진 외팔보가 있다. 그 단면의 자유단에 전단력 V = 40kN이 발생한다면 단면 a-b 위에 발생하는 전단응력은 약 몇 MPa 인가? 19 전체 길이가 L이고, 일단지지 및 타단 고정보에서 삼각형 분포 하중이 작용할 때, 지지점 A에서의 반력은? (단, 보의 굽힘강성 EI는 일정하다.) 20 원형단면 축에 147kW의 동력을 회전수 2000rpm으로 전달시키고자 한다. 축 지름은 약 몇 cm로 해야 하는가? (단, 허용전단응력은 τw = 50 MPa 이다.) 21 도시출력이 8kW, 제동출력이 7kW 일 때 마찰출력은 몇 kW 인가? 22 6실린더 4행정 사이클 기관이 3000rpm으로 운전되고 있을 때 제 3번 실린더의 흡기 밸브는 1초에 몇 번 열리는가? 23 가솔린기관에서 크랭크축의 회전수와 점화 진각과의 관계에 관한 설명으로 옳은 것은? 24 전자제어 디젤기관의 독립형 분사펌프에서 ECU에 입력되는 요소가 아닌 것은?
37 윤활유에 대해 요구되는 성질에 포함되지 않는 것은? 38 가솔린기관의 유해배출가스 생성에 대한 설명으로 적합하지 않은 것은? 39 연료의 연소 시 발생한 고압의 연소가스가 터빈날개를 돌려서 회전시키는 구조의 기관은? 40 체적효율에 대한 설명으로 옳은 것은? 41 나사의 리드 각을 α, 마찰각을 β라 할 때 나사의 효율 η를 구하는 식은? 42 폭 150mm, 두께 7mm인 가죽 평벨트가 속도 10m/s 일 때, 이 벨트가 최대로 전달할 수 있는 동력(kW)은? (단, 벨트의 허용응력 σa= 3MPa, eμθ= 3 이고 이음효율은 100% 이다.) 43 사일런트 체인전동장치의 스프로킷 휠에서 1개의 양면이 이루는 각은 ø이고, 체인 링크의 양끝 경사면이 이루는 각을 β라고 할 때 ø와 β의 관계식으로 옳은 것은? (단, Z는 휠의 잇수이다.) 44 하중 15000N의 전단하중을 받는 핀의 허용전단응력이 72MPa 일 때 핀의 지름은 최소 몇 mm 이상이어야 하는가? (단, 핀의 전단면은 2개이다.) 45 다음 중 미끄럼 베어링 재료의 요구조건으로 틀린 것은? 46 브레이크 드럼에 대하여 단식 브레이크 블록을 밀어 붙이는 힘이 4000N, 마찰계수가0.25, 드럼의 지름이 500mm일 때, 제동토크(N·m)는? 47 지름이 30mm인 회전축이 베어링에 의하여 양끝에서 지지되고 있다. 베어링 사이의 축 길이는 600mm이고, 그 중앙에 450N의 하중이 작용한다. 이 회전축의 위험속도(rpm)는? (단, 축재료의 탄성계수는 200GPa이고 축의 자중은 무시한다.) 48 롤러 베어링에서 기본정격수명을 L(rev), 베어링의 기본 동정격하중을 C(N), 베어링에 발생하는 동등가하중을 P(N)라 할 때 이에 대한 관계식으로 옳은 것은?
49 지름 55mm의 축에 폭, 높이, 길이가 각각 b=15mm, h=10mm, ℓ=100mm 되는 묻힘키가 있다. 축이 허용전단응력 τa=40MPa를 받는 상태에서 키에 생기는 전단응력(MPa)은? 50 그림과 같은 블록 브레이크의 드럼축에 500N·m의 토크가 작용하고 있다. 축의 회전을 정지시키는데 필요한 최소 힘 F(N)는? (단, 브레이크의 마찰계수는 0.2 이다.) 51 이직각 모듈 5, 잇수 Z1 = 15, Z2 = 45인 헬리컬 기어가 물리고 있을 때, 기어의 중심거리(mm)는? (단, 나선각 β = 15° 이다.) 52 두 축이 평행하고 중심선이 약간 어긋나는 경우에 사용하는 축이음으로 진동이나 마찰저항이 커서 고속회전에 부적합한 것은? 53 스플라인의 설명 중 옳은 것은? 54 10 kN·m의 비틀림 모멘트를 받는 축에서 허용전단응력을 고려할 때 적용 가능한 최소 축지름(mm)은? (단, 허용전단응력 τa = 48 MPa 이다.) 55 헬리컬 기어의 이직각 모듈 m = 3, 나선각 β = 30°, 잇수 Z = 30개일 때 바깥지름 Do(mm)는 얼마인가? 56 맞대기 용접 이음에 있어서 강판의 두께가 가장 두꺼운 경우의 용접형식이 옳은 것은? 57 코일스프링의 스프링 상수(k)에 대한 설명으로 틀린 것은? 58 공기 스프링에 대한 설명으로 틀린 것은? 59 안지름 1000mm인 얇은 관에서 0.6MPa의 내압을 받고 있다. 이 관 재료가 인장강도가 300MPa, 안전계수가 3, 이음효율이 60%, 부식여유가 1mm라고 할 때, 관의 최소 두께(mm)는? 60 나사의 강도에서 볼트가 축방향의 힘 W만을 받는 경우, 나사재료의 허용인장응력 σt 은 볼트의 외경 d와 어떤 관계인지 옳게 설명한 것은? (단, W는 일정하다.)
App Store Google Play
오늘학습 예시 이미지

시험에 합격하려면
복습을 제대로 해야 합니다.

오늘학습은 스스로 기억을 떠올리고 계획적으로 복습할 수 있도록 설계돼 있어요.
그것도, 가장 과학적인 방식으로요!

능동적 회상

능동적 회상
(Active Recall)

배운 내용을 단순 읽으며 반복하는 것이 아니라,
능동적으로 기억하고 있는지를
스스로 테스트하며
공부할 수 있는
학습 환경을 제공해 학습 효과를 높여요

간격 반복 학습

간격 반복 학습
(Spaced Repetition)

에빙하우스 망각곡선을 바탕으로
가장 최적의 시점에 복습을 제공하여
배운 내용이 잊히지 않도록 장기 기억화해요

Data 기반의
뇌과학적 복습 시스템

학습 결과 Data를 분석해, 문제별 최적화된
반복 학습량을
자동으로 분배해요.
학습에 소요되는 시간을 최소화하는
동시에
단기 기억을 장기 기억으로 전환해줘요.

36만 개 이상의
기출문제 무료 제공

공무원 및 약 300여종의 자격증 시험 기출문제
36만개
이상을 무료로 이용할 수 있어요.
여러 앱을 설치할 필요
없이, 오늘학습 하나로
모든 시험을 준비할 수 있어요.

다양한 문제 유형으로 만드는
나만의 단어장&문제집

기출 외에도 외워야 하는 내용은
객관식, 주관식, 카드, 빈칸
등 다양한 형식으로
직접 만들어 보세요. 내 학습 스타일에
맞게
나만의 단어장과 문제집을 만들 수 있어요.

시험별 체계적인
문제 관리

시험에 문제를 추가해 체계적으로
관리할 수 있어요.
주제나 단원별로
분류하고 싶다면,
시험에 챕터를 만들어
문제를 추가할 수도 있어요.

수십만 명이
오늘학습을 사랑합니다

앱 스토어 평점 4.9
구글 플레이 평점 4.8
누적 회원수 100,000+
지금 오늘학습을
시작해보세요
지금 시작하기
문제 선택