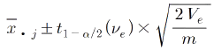
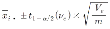
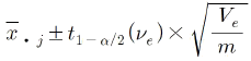
반복수가 일정한 1요인 모집모형에서 수준 I의 모평균에 대한 100(1-a)%구간 추정식으로 맞는 것은? (단, Ve 오차항의 자유도, Ve는 평균제곱오차이고 m은 반복수이다.)
지금 시작하기 →

・・・ 문제은행 품질경영산업기사(2019년 2회) 1번

품질경영산업기사 2019년 09월 1번

반복수가 일정한 1요인 모집모형에서 수준 I의 모평균에 대한 100(1-a)%구간 추정식으로 맞는 것은? (단, Ve 오차항의 자유도, Ve는 평균제곱오차이고 m은 반복수이다.)

1
2
3
4
단축키
이전 문제로 이동은 키를 누르고, 다음 문제로 이동은 키를 누르세요
이전 문제 , 다음 문제
문제(80)
1 반복수가 일정한 1요인 모집모형에서 수준 I의 모평균에 대한 100(1-a)%구간 추정식으로 맞는 것은? (단, Ve 오차항의 자유도, Ve는 평균제곱오차이고 m은 반복수이다.) 2 반복수가 일정하지 않은 모수모형의 1요인 실험에 관한 설명으로 틀린 것은? 3 표준 직교배열표를 이용하는 실험의 특징으로 틀린 것은? 4 요인 선정 시 계량치 데이터인 것은? 5 요인 A가 4준수, 요인 B가 5수준인 반복이 없는 2요인 실험에서 결측치가 1개 있을 때 총 자유도는? (단, 요인 A와 B는 모수모형이다.) 6 L8(27)에서 4개의 요인 A, B, C, D를 다음과 같이 배치하였다면 5열에서 교락되는 2요인 교호작용은? 7 실험의 배치에 관한 설명으로 틀린 것은? 8 다음 데이터는 x에 대한 y의 회귀직선관계를 구하기 위한 일부의 값이다. y의 총제곱합에 대한 회귀에 의한 제곱합의 정도(기여율)는 약 얼마인가? 9 요인 A는 4수준, 요인 B는 3수준인 반복이 없는 2요인 실험으로 얻어진 데이터에서 요인 A인 제곱합은 180, 요인 B의 제곱합은 120, 그리고 오차항의 제곱합이 24일 때 요인 A의 유의성을 검정하기 위한 검정통계량의 값은 얼마인가? 10 반복이 있는 2요인 실험(모수모형)에서 다음의 분산분석표를 얻었다. 빈칸 ㉠과 ㉡에 들어가야 할 값이 바르게 짝지어진 것은? 11 변량모형에 대한 설명으로 틀린 것은? 12 데이터의 구조식이 xilk=μ+ai+bj+ck+eijk인 실험계획에 해당되는 것은?
13 4대의 기계에 제품을 각 100개씩 만들어, 적합품이면 0, 부적합품이면 1의 값을 주기로 하였다. 그 결과가 다음 표와 같을 때 오차항의 제곱합(Se)은 얼마인가? 14 일반적으로 농사 실험에 많이 이용되는 난괴법의 구조모형은? 15 A는 4수준, B는 3수준의 2요인 실험에서 아래의 데이터가 얻어졌다. A요인의 제곱합(SA)을 구하면 약 얼마인가? 16 3수준의 공정온도(A)에서 수율을 각각r=4회 반복 측정하여 총제곱합 ST=480, 공정온도에 의한 제곱합 SA=420을 얻었다. 오차항의 분산 σ2e의 추정치는 얼마인가? 17 2요인 실험에 관한 설명으로 맞는 것은? (단, r은 처리의 반복수이다.) 18 A가 4수준, B가 3수준이고, 반복 2회인 모수모형 2요인 실험의 분산분석 결과, A요인과 B요인은 유의하고, 교호작용이 유의하지 않은 경우 A, B요인의 수준조합에서 구간추정을 하고자 할 때 유효반복수(ne)는? 19 3×3 라틴방격법으로 실험한 결과 =5.4 Ve=3인 경우, A2수준에서 모평균의 95% 신뢰구간은 약 얼마인가? (단, t0.975(2)=4.303이다.) 20 다음은 반복수가 일정하지 않은 1요인 실험의 데이터 일부이다. 그리고 분산분석 결과 Ve=0.051이었다. μ(A2)를 신뢰수준 95%로 구간추정하면 약 얼마인가? (단 t0.95(9)=1.833, t0.975(9)=2.262이다.) 21 H사이에서 생산하는 강철봉의 두께가 종전에는 평균 2.80cm, 표준편차 0.20cm인 정규분포를 따르던 것으로 알려져 있다. 그러나 현재 생산되는 강철봉의 두께는 종정보다 얇아졌다는 정보가 있어 25개의 강철봉을 구입하여 두께를 측정하여 구한 시료평균이 2.73cm로 검정 결과 강철봉의 두께는 평균값이 작아졌다는 것이 유의수준 5%로 입증이 되었다. 이때 모평균의 95% 신뢰한계는 얼마인가? (단, 강철봉 두께의 산포는 검정을 통해 변화하지 않았다는 것이 입증되었다.) 22 OC곡선에서 소비자 위험이 증가하는 샘플링 방벙은? (단, 로츠의 크기는 샘플의 크기에 비해 충분히 크다.) 23 계수형 관리도에 해당하는 것은? 24 최근 연속해서 제출된 5로트에 대하여 다음의 결과가 나왔다. 공정평균 부적 합품률을 추정하면 약 얼마인가?
25 확률변수 은 어떤 분포를 따르는가? 26 변동계수에 대한 설명으로 맞는 것은? 27 공정이 이상상태일 경우에는 관리도에서 가능한 한 빨리 이상신호를 줄 수 있어야 한다. 이상신호를 보다 빨리 줄 수 있는 방법으로 틀린 것은? 28 샘플의 크기 5, 군의 수 25에 대해 이다. 관리도의 UCL은 약 얼마인가? (단, n=4 일 때 d2=2.059이며, n=5일 때 d2=2.326이다.) 29 학생 100명을 무작위로 추출하여 조사 한 결과 80여명이 현장근무를 원하였다. 현장근무의 선호율에 대한 95% 신뢰구간을 구하면 약 얼마인가? 30 M성분의 평균치가 97% 이상인 로트는 합격시키고 94% 이하인 로트는 불합격시키고 싶다. 로트의 표준편차 σ=2.0%, α=0.05, β=1.0을 만족하는 시료의 크기 n은 얼마인가? (단, Kα=1.645, Kβ=1.282이다.) 31 계수형 샘플링검사 절차-제1부 : 로트별 합격품질한계(AQL) 지표형 샘플링검사 방식(KS Q LSO 2859-1:2014)에서 분수 합격판정개수의 샘플링검사 방식에 대한 설명으로 틀린 것은? 32 검정의 결과로“유의차가 없다.”고 했을 때, 이것을 바르게 표현한 내용은? 33 사상 A와 B가 상호 배반사상이고,P(A)=0.5, P(AUB)=0.7이라면 P(B)는 얼마인가? 34 관리도에 관한 내용으로 틀린 것은? (단, 기중값이 주어지지 않는 경우이다.) 35 이항분포에 대한 설명으로 틀린 것은? 36 직물 100m를 1단위로 25단위를 검사한 결과 총결점수는 191개이다 c관리도의 관리한계는 약 얼마인가?
61 어떤 조립품의 구멍과 축의 치수가 다음과 같을 때 최대틈새는 얼마인가? 62 품질개선활동의 추진방법 중 가장 먼저 실시해야 할 것은? 63 사내계측관리 전개방법 중 집중관리방식의 특징이 아닌 것은? 64 신 QC가 7가지 수법이 아닌 것은? 65 1980년 중반에 등장한 전략경영 개념은 급변하는 기업환경 속에서 기업이 직면하고 있는 위협과 기회에 조직능령을 대응시키는 의사결정과정이라 할 수 있다. 이러한 전략적 경영을 전개해 가는 3단계에 해당하지 않는 것은? 66 양 및 단위-제1부 : 일반사항(KS AISO 80000-1:2009)에서 규정하기 SI기본단위에서 기본량과 적용되는 명칭이 틀린 것은? 67 카노(kano)의 고객만족모형에서 고객내면에 잠재되어 있는 품질특성으로, 경쟁사에 비교우의를 가져오게 되는 요인은? 68 표준화의 역효과가 나타나지 않고 효과적으로 추진해가기 위한 제조공정의 사내표준화 활동으로 틀린 것은? 69 품질경영의 성과를 여러 가지 관점에서 객관적으로 평가하여 품질보중에 필요한 정보를 파악하기 위해 행하여지는 독립적인 행위를 무엇이라 하는가? 70 6시그마 품질경영에 대한 설명으로 틀린 것은? 71 품질경영시스템-요구사항(KS Q ISO 9001;2015)의 부적합 및 시정조치에 관한 내용으로 틀린 것은? 72 제조물책임 방어(PLD:product liablilty defence)의 대책 중 사후대책에 해당하는 것은?
App Store Google Play
오늘학습 예시 이미지

시험에 합격하려면
복습을 제대로 해야 합니다.

오늘학습은 스스로 기억을 떠올리고 계획적으로 복습할 수 있도록 설계돼 있어요.
그것도, 가장 과학적인 방식으로요!

능동적 회상

능동적 회상
(Active Recall)

배운 내용을 단순 읽으며 반복하는 것이 아니라,
능동적으로 기억하고 있는지를
스스로 테스트하며
공부할 수 있는
학습 환경을 제공해 학습 효과를 높여요

간격 반복 학습

간격 반복 학습
(Spaced Repetition)

에빙하우스 망각곡선을 바탕으로
가장 최적의 시점에 복습을 제공하여
배운 내용이 잊히지 않도록 장기 기억화해요

Data 기반의
뇌과학적 복습 시스템

학습 결과 Data를 분석해, 문제별 최적화된
반복 학습량을
자동으로 분배해요.
학습에 소요되는 시간을 최소화하는
동시에
단기 기억을 장기 기억으로 전환해줘요.

36만 개 이상의
기출문제 무료 제공

공무원 및 약 300여종의 자격증 시험 기출문제
36만개
이상을 무료로 이용할 수 있어요.
여러 앱을 설치할 필요
없이, 오늘학습 하나로
모든 시험을 준비할 수 있어요.

다양한 문제 유형으로 만드는
나만의 단어장&문제집

기출 외에도 외워야 하는 내용은
객관식, 주관식, 카드, 빈칸
등 다양한 형식으로
직접 만들어 보세요. 내 학습 스타일에
맞게
나만의 단어장과 문제집을 만들 수 있어요.

시험별 체계적인
문제 관리

시험에 문제를 추가해 체계적으로
관리할 수 있어요.
주제나 단원별로
분류하고 싶다면,
시험에 챕터를 만들어
문제를 추가할 수도 있어요.

수십만 명이
오늘학습을 사랑합니다

앱 스토어 평점 4.9
구글 플레이 평점 4.8
누적 회원수 100,000+
지금 오늘학습을
시작해보세요
지금 시작하기
문제 선택