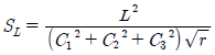
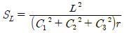
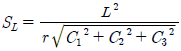
A1, A2,A3에 관한 대비 L = C1A1+C2A2+C3A3에서 제곱합(SL)은? (단, 가 모두 0은 아니며, γ은 요인 A의 각 수준에서의 반복수이다.)
지금 시작하기 →

・・・ 문제은행 품질경영기사(2018년 1회) 1번

품질경영기사 2018년 03월 1번

A1, A2,A3에 관한 대비 L = C1A1+C2A2+C3A3에서 제곱합(SL)은? (단, 가 모두 0은 아니며, γ은 요인 A의 각 수준에서의 반복수이다.)

1
2
3
4
단축키
이전 문제로 이동은 키를 누르고, 다음 문제로 이동은 키를 누르세요
이전 문제 , 다음 문제
문제(100)
1 A1, A2,A3에 관한 대비 L = C1A1+C2A2+C3A3에서 제곱합(SL)은? (단, 가 모두 0은 아니며, γ은 요인 A의 각 수준에서의 반복수이다.) 2 실험계획법에 의해 얻어진 데이터를 분산분석하여 통계적 해석을 할 때에는 측정치의 오차항에 대해 크게 4가지의 가정을 하는데, 이 가정에 속하지 않는 것은? 3 23형의 일부실시법에 의한 실험을 하기 위해 다음의 블록을 설정하여 실험을 실시하려 할 때의 설명으로 틀린 것은? 4 5수준의 모수요인 A와 4수준의 모수요인 B로 반복 없는 2요인실험을 한 결과 주효과 A, B가 모두 유의한 경우 최적조합조건하에서의 공정평균을 추정할 때 유효 반복수 ne는 얼마인가? 5 1요인실험의 분산분석을 실시하기 위해 총 제곱합(ST)을 요인 A의 제곱합(SA)과 오차 제곱합(Se)으로 분해하고자 할 때, 계산식으로 틀린 것은? (단, xij는 i번째 수준의 j번째 반복에서 측정된 특성치이며, 고려된 수준수는 l(l > 0) 그리고, 반복수 m(m > 0)이다.) 6 혼합모형 반복 없는 2요인실험에서 모두 유의하다면 구할 수 없는 것은? 7 망소특성 실험의 경우 다음과 같은 데이터를 얻었다. 이 때 SN 비(signal-to-noise ratio)는 약 몇 데시벨인가? 8 수준이 k인 그레코라틴방격법의 오차의 자유도는? 9 다음의 구조를 갖는 단일분할법에서 사용되는 계산이 틀린 것은? (단, 요인 A, B, C 모두 모수요인이고, 각 수준수는 l, m, n이다.)(오류 신고가 접수된 문제입니다. 반드시 정답과 해설을 확인하시기 바랍니다.) 10 반복이 있는 2요인실험에서 요인 A는 모수이고, 요인 B는 대응이 있는 변량일 때의 검정방법으로 맞는 것은? 11 적합품을 0, 부적합품을 1로 표시한 0, 1의 데이터 해석에서 각 조합마다 각각 100회씩 되풀이한 결과는 표와 같았다. 제곱합 ST는 약 얼마인가? 12 4수준, 4반복의 1요인실험을 회귀분석 하고자 한다. Sxx=3.20, Sxy=3.40, Syy=4.6981일 때, 회귀에 기인하는 불편분산(VR)은 약 얼마인가?
13 분산성분을 조사하기 위하여 A는 3일을 랜덤하게 선택한 것이고, B는 각 일별로 2대의 트럭을 랜덤하게 선택한 것이고, C는 각 트럭 내에서 랜덤하게 2삽을 취한 것이다. 각 삽에서 2번에 걸쳐 소금의 염도를 측정하는 지분실험법을 실시하였다. 오차의 자유도는 얼마인가? 14 수준수가 4, 반복 5회인 1요인실험의 분산분석 결과 요인 A가 유의수준 5%에서 유의적이었다. ST=2.478, SA=1.690이었고, =8.50일 때, μ(A3)를 유의수준 0.05로 구간 추정하면 약 얼마인가? (단, t0.975(16)=2.120, t0.95(16)=1.746이다.) 15 실험계획의 기본원리 중 블록화의 원리에 대한 설명으로 틀린 것은? 16 반복이 없는 모수모형의 3요인실험 분산분석 결과 A, B, C 주효과만 유의한 경우, 3요인의 수준조합에서 신뢰구간 추정 시 유효반복수를 구하는 식은? (단, 요인 A, B, C의 수준수는 각각 l, m, n이다.) 17 3수준계 선점도에 관한 설명으로 틀린 것은? 18 23형 교락법 실험에서 A×B효과를 블록과 교락시키고 싶은 경우 실험을 어떻게 배치해야 하는가? 19 표는 L4(23)형 직교배열표에 A, B 두 요인을 배치하여 실험한 결과이다. 요인 A의 제곱합 SA는 얼마인가? 20 요인배치법에 대한 설명 중 틀린 것은? 21 어떤 모집단의 평균이 기존에 알고 있는 모평균보다 큰지를 알아보려고 하는데, 모표준편차 값을 모르고 있다. 이에 대해 검정한 결과 귀무가설이 기각되었다면, 새로운 모평균의 신뢰한계를 구하는 추정식으로 맞는 것은? 22 500개가 1로트로 취급되고 있는 어떤 제품이 있다. 그 중 490개는 적합품, 10개는 부적합품이다. 부적합품 중 5개는 각각 1개씩의 부적합을 지니고 있으며, 4개는 각각 2개씩의 부적합, 그리고 1개는 3개의 부적합을 지니고 있다. 이 로트의 100 아이템당 부적합 수는 얼마인가? 23 로트의 품질표시 방법이 아닌 것은? 24 직물공장의 권취공정에서 사절건수는 10000m 당 평균 16회 이었다. 작업방법을 변경하여 운전하였더니 사절건수가 10000m 당 9회로 나타났다. 작업방법 변경 후 사절건수가 감소하였다고 할 수 있는지 유의수준 0.05로 검정한 결과로 맞는 것은?
37 A, B 두 사람의 작업자가 동일한 기계부품의 길이를 측정한 결과 다음과 같은 데이터가 얻어졌다. A 작업자가 측정한 것이 B 작업자의 측정치보다 크다고 할 수 있겠는가? (단, α =0.05, t0.95(5)=2.015이다.) 38 샘플링방법에 관한 설명으로 틀린 것은? 39 다음 표는 주사위를 60회 던져서 1부터 6까지의 눈이 몇 회 나타나는가를 기록한 것이다. 이 주사위에 관한 적합도 검정을 하고자 할 때, 검정통계량 은 얼마인가? 40 계량 규준형 1회 샘플링검사에서 모집단의 표준편차를 알고 특성치가 낮을수록 좋은 경우, 로트의 평균치를 보증하려고 할 때 합격되는 경우는? 41 표준시간 설정을 위한 수행도평가 방법에 해당하지 않는 것은? 42 JIT 생산방식에 관한 설명으로 틀린 것은? 43 자주보전 활동 7스텝 중 “설비의 기능구조를 알고 보전기능을 몸에 익힌다.”는 내용은 어디에 해당하는가? 44 총괄생산계획(APP) 기법 중 시행착오의 방법으로 이해하기 쉽고, 사용이 간편한 것은? 45 PERT 기법에서 최조시간(TE;earliest possible time)과 최지시간(TL;latest allowable time)의 계산방법으로 맞는 것은? 46 연간 10000단위 수요가 있으며 생산준비 비용이 회당 2000원, 재고유지비용이 연간 단위당 100원일 때, 연간 생산율이 20000 단위라면 경제적 생산량은 약 몇 단위인가? 47 공급사슬에서 고객으로부터 생산자로 갈수록 주문량의 변동폭이 증가되는 현상을 무엇이라 하는가? 48 보전작업자가 각 제조부서의 감독자 밑에 있는 보전조직을 무엇이라고 하는가?
61 Y 전자부품의 수명은 전압에 대하여 5승 법칙에 따른다. 전압을 정상치보다 30% 증가시켜 가속수명시험을 하여 얻은 데이터로부터 추정한 평균수명은 정상수명 시험에서 얻은 데이터로부터 추정한 평균 수명에 비해 약 얼마나 단축되는가? 62 그림과 같은 FT 도에서 정상사상(Top Event)의 고장확률은 약 얼마인가? (단, 기본사상 a, b, c의 고장확률은 각각 0.2, 0.3, 0.4이다.) 63 다음은 어떤 전자장치의 보전시간을 집계한 표이다. MTTR의 추정치는 약 몇 시간인가? 64 정시중단시험에서 고장개수가 0개인 경우 어떠한 분포를 이용하여 평균수명을 구하는 가? 65 λ1=0.001, λ2=0.001인 두 부품으로 구성된 직렬시스템에서 t=100일 때, 시스템의 신뢰도(R), 고장률(λ), MTTF은 각각 약 얼마인가? (단, 고장은 지수분포를 따른다.) 66 지수분포를 따르는 어떤 기기의 고장률은 0.02/시간이고, 이 기기가 고장나면 수리하는 데 소요되는 평균시간이 30시간이라면, 이 기기의 가용도(Availability)는 몇 %인가? 67 고장평점법에서 평점요소로 기능적 고장영향의 중요도(C1), 영향을 미치는 시스템의 범위(C2), 고장발생빈도(C3)를 평가하여 평가점을 C1=3, C2=9, C3=6을 얻었다면, 고장평점(Cs)는 약 얼마인가? 68 신뢰성보증시험에서 계량형 특성을 갖는 자료를 분석하는 데 주로 사용되는 수명분포는? 69 고장분포함수가 지수분포인 n개의 부품의 고장시간이 t1, t2, ..., tn으로 얻어졌다. 평균고장시간(MTBF)에 대한 추정식으로 맞는 것은? 70 300개의 전구로 구성된 전자제품에 대하여 수명시험을 한 결과 4시간과 6시간 사이의 고장개수가 20개이다. 4시간에서 이 전구의 고장확률밀도함수 f(t)는 약 얼마인가? 71 고장률 λ를 가지는 리던던시 시스템을 그림과 같이 병렬로 구성하였을 때 신뢰도 함수R(t)는? (단, 각각의 부품은 동일한 고장률을 갖는 지수분포를 따른다.) 72 신뢰성 데이터 해석에 사용되는 확률지 중 가장 널리 사용되는 와이블 확률지에 대한 설명으로 틀린 것은?
73 10개의 샘플에 대하여 4개가 고장날 때까지 수명시험을 한 결과 10시간, 20시간, 30시간, 40시간에 각각 1개씩 고장이 났다. 이 샘플의 고장이 지수분포에 따라 발생한다고 하면 MTBF의 점추정치는 몇 시간인가? 74 각 요소의 신뢰도가 0.9인 2 out of 3 시스템(3중 2시스템)의 신뢰도는 약 얼마인가? 75 다음은 신뢰성 설계항목에 관한내용으로 신뢰성 설계 순서를 나열한 것으로 맞는 것은? 76 어떤 부품을 신뢰수준 90%, C=1에서 λ1=1%/103 시간임을 보증하기 위한 계수 1회 샘플링검사를 실시하고자 한다. 이때 시험시간 t를 1000시간으로 할 때, 샘플수는 몇 개인가? (단, 신뢰수준은 90%로 한다.) 77 마모고장 기간에 나타나는 고장 원인이 아닌 것은? 78 어떤 재료에 가해지는 부하의 분포는 평균 1500kg/mm2, 표준편차 30kg/mm2인 정규분포를 따르고, 사용재료의 강도의 분포는 평균 1600kg/mm2, 표준편차 40kg/mm2인 정규분포를 따른다. 이 재료의 신뢰도는 약 얼마인가? 79 어떤 제품의 수명이 평균 450시간, 표준편차 50시간의 정규분포에 따른다고 한다. 이 제품 200개를 새로 사용하기 시작하였다면 지금부터 500~600시간 사이에서는 평균 약 몇 개가 고장나는가? 80 일반적인 신뢰성 시험의 평균수명시험을 추정하는 방법으로 시간이나 개수를 정해놓고 그 때까지만 수명시험을 하는 시험은? 81 제조물책임법에 명시된 결함의 종류에 해당되지 않는 것은? 82 다음의 커크패트릭(Kirkpatrick)의 품질비용에 관한 모형 중 B는 어떤 비용을 의미하는 것인가? 83 인증심사의 분류에 따라 심사주체가 틀린 것은? 84 산업표준화법령상 산업표준화 및 품질경영에 대한 교육을 반드시 받아야 하는데, 이에 해당되는 것은?
85 문제가 되고 있는 사상 중 대응되는 요소를 찾아내어 행과 열로 배치하고, 그 교점에 각 요소간의 연관 유무나 관련 정도를 표시함으로써 문제의 소재나 형태를 탐색하는데 이용되는 기법은? 86 표준화의 목적으로 틀린 것은? 87 1980년 중반에 등장한 전략경영 개념은 급변하는 기업환경 속에서 기업이 직면하고 있는 위협과 기회에 조직능력을 대응시키는 의사결정과정이라 할 수 있다. 이러한 전략적 경영을 전개해 가는 3단계적 접근에 해당되지 않는 것은? 88 크로스비(P.B.Crosby)의 품질경영에 대한 사상이 아닌 것은? 89 어떤 문제에 대한 특성과 그 요인을 파악하기 위한 것으로 브레인스토밍이 많이 사용되는 개선활동 기법은? 90 품질경영시스템-요구사항(KS Q ISO 9001:2015)에서 품질목표 달성방법을 기획할 때, 조직에서 정의해야 할 사항이 아닌 것은? 91 6시그마의 본질로 가장 거리가 먼 것은? 92 품질향상에 대한 모티베이션에 관한 설명으로 틀린 것은? 93 현대 품질경영에 있어 매우 중요한 경쟁우위에 관해 설명한 것으로 틀린 것은? 94 사내표준 작성의 필요성이 큰 경우에 해당되지 않는 것은? 95 Y 제품의 치수의 규격이 150±1.5mm이라고 한다면 규정허용차는 얼마인가?(오류 신고가 접수된 문제입니다. 반드시 정답과 해설을 확인하시기 바랍니다.) 96 그림과 같이 길이가 동일한 4개의 부품으로 조립된 제품의 규격은 10±0.03cm이다. 각 부품의 규격은 얼마이어야 되는가?
App Store Google Play
오늘학습 예시 이미지

시험에 합격하려면
복습을 제대로 해야 합니다.

오늘학습은 스스로 기억을 떠올리고 계획적으로 복습할 수 있도록 설계돼 있어요.
그것도, 가장 과학적인 방식으로요!

능동적 회상

능동적 회상
(Active Recall)

배운 내용을 단순 읽으며 반복하는 것이 아니라,
능동적으로 기억하고 있는지를
스스로 테스트하며
공부할 수 있는
학습 환경을 제공해 학습 효과를 높여요

간격 반복 학습

간격 반복 학습
(Spaced Repetition)

에빙하우스 망각곡선을 바탕으로
가장 최적의 시점에 복습을 제공하여
배운 내용이 잊히지 않도록 장기 기억화해요

Data 기반의
뇌과학적 복습 시스템

학습 결과 Data를 분석해, 문제별 최적화된
반복 학습량을
자동으로 분배해요.
학습에 소요되는 시간을 최소화하는
동시에
단기 기억을 장기 기억으로 전환해줘요.

36만 개 이상의
기출문제 무료 제공

공무원 및 약 300여종의 자격증 시험 기출문제
36만개
이상을 무료로 이용할 수 있어요.
여러 앱을 설치할 필요
없이, 오늘학습 하나로
모든 시험을 준비할 수 있어요.

다양한 문제 유형으로 만드는
나만의 단어장&문제집

기출 외에도 외워야 하는 내용은
객관식, 주관식, 카드, 빈칸
등 다양한 형식으로
직접 만들어 보세요. 내 학습 스타일에
맞게
나만의 단어장과 문제집을 만들 수 있어요.

시험별 체계적인
문제 관리

시험에 문제를 추가해 체계적으로
관리할 수 있어요.
주제나 단원별로
분류하고 싶다면,
시험에 챕터를 만들어
문제를 추가할 수도 있어요.

수십만 명이
오늘학습을 사랑합니다

앱 스토어 평점 4.9
구글 플레이 평점 4.8
누적 회원수 100,000+
지금 오늘학습을
시작해보세요
지금 시작하기
문제 선택