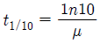
초기 방사선 강도의 1/10이 되는 수준의 두께를 1/10가 층이라 한다. 이것을 식으로 표시할 때 옳은 것은? (단, μ: 선형 흡수계수, t1/2: 반가층이다.)
지금 시작하기 →

・・・ 문제은행 방사선비파괴검사기사(구)(2013년 2회) 1번

방사선비파괴검사기사(구) 2013년 09월 1번

초기 방사선 강도의 1/10이 되는 수준의 두께를 1/10가 층이라 한다. 이것을 식으로 표시할 때 옳은 것은? (단, μ: 선형 흡수계수, t1/2: 반가층이다.)

1
2
3
4
단축키
이전 문제로 이동은 키를 누르고, 다음 문제로 이동은 키를 누르세요
이전 문제 , 다음 문제
문제(100)
25 텅스텐을 표적으로 하는 X선관에서 관전압을 변경하는 경우 발생한는X선의 파장과 강도의 관계에서 관전류를 일정하게 하고 관전압만 상승시킬 때 일어나느 현상의 설명으로 틀린것은? 26 방사선투과검사시 시험체의 투과방향으로 산란되는 것을 무엇이라 하는가? 27 수동법에 의한 현상으로 필름표면에 망상형 주름이 발생하였다. 차후 이러한 현상을 방지하기 위한 방법은? 28 베타트론 가속장치에서 전자를 가속시키는 방법은? 29 정적 및 동적 현상의 방사선의 투과상을 필름 등의 투과사진을 만들지 않고 바로 눈이나 TV모니터로 관찰하는 방사선 투과시험법은? 30 방사선투과검사시 투과사진의 상질을 높이기 위해 저에너지 방사선을 흡수, 제거시킬 목적으로 필터를 사용하기도 한다. 일반적으로 사용되는 필터의 재질은? 31 다음 중 X선 발생장치들의 용도 설명이 틀린 것은? 32 공업용 방사선투과검사에 주로 사용하는 스크린(증감지)이 아닌 것은? 33 일반적으로 사용되는 선원조사 장치에서 방사성동위원소선원은 피그테일의 앞쪽에 위치하며, 이 피그테일을 이동와이어에 연결하도록 되어있다. 방사성동위원소 선원을 검사체 주변의 목표지점까지 이동할 수 있도록 해주는 장치명은? 34 형광증감지의 형광체가 X선 조사로 형광을 방출하는 주된원리는? 35 현상처리된 필름을 보관할 때 고려할 내용으로 틀린 것은? 36 초점과 필름간의 거리가 40cm, 5mA에 4분의 노출시간으로 양질의 사진을 얻었다. 거리 60cm, 3mA로 했을 경우의 노출시간은 얼마인가? (단, 다른조건은 동일하다.)
37 방사선투과시험의 자동현상에 대한 설명으로 틀린 것은? 38 그림과 같이 파라렉스법에 의해서 투영에 의한 결함위치H를 구하는 공식은? 39 X선발생장치의 유리관속을 진공으로 하는 이유의 설명으로 틀린 것은? 40 결함의 직경에 따라 방사선투과사진 콘트라스트가 변하여 검고 스무스하며, 둥근 모양의 점으로 나타나는 결함은? 41 ASME Sec.Ⅷ에 따라 허용 덧붙임을 제외한 용접부의 두께가 30mm인 압력용기를 부분방사선투과사진으로 촬영하였다. 다음지시중 합격인 것은? 42 스테인리스강 용접부의 방사선투과 시험방법 및 투과사진의 등급분류방법(KS D 0237)에 따라 스테인리스강 용접부의 방사선 투과사진 결함평가시 텅스텐 개재물에 대한 설명중 옳은 것은? 43 보일러 및 압력용기에 대한 방사선투과검사(ASME Sec.V.Art.2)에서 450kv이하의 X선 발생장치의 초점크기를 측정하는 방법은? 44 주강품의 방사선투과 시험방법(KS D 0227)에서 투과사진의 결함이 기포인 경우 6류로 판정되어야 하는 것은? 45 ASME규격에 사용되는 유공형 투과도계의 최저 두께는? 46 강용접 이음부의 방사선투과 시험방법(KS B 0845)에 의한 흠의 분류에서 길이를 구하지 않는 것은? 47 보일러 및 압력용기에 대한 방사선투과검사(ASME Sec.V.Art.2)에 따라 28mm(1.1인치) 두께의 시험체를 촬영시 필름측에 부착할 유공형 투과도계의 식별번호는? 48 원자력법에서 정의 하는 조사선량이라 함은 X선 또는 감마선에 의하여 공기 단위질량당 생성된 전하량을 말한다. 이때 사용되는 단위는?
49 보일러 및 압력용기에 대한 방사선투과검사(ASME Sec.V.Art.2)에 관한 설명으로 옳지 않은 것은? 50 다음 중 조직에 흡수되는 방사선량에 해당되는 단위는? 51 방사선구역 수시출입자의 연간등가선량한도가 옳은 것은? 52 알루미늄 평판 접합 용접부의 방사선투과 시험방법(KS D0242)에서 구리의 혼입이 존재할 때 분류는? 53 방사선 안전관리 등의 기술기준에 관한 규칙에서 규정하고 있는 운반물 또는 덧포장의 최대방사선량률의 제한값으로 틀린 것은? 54 어떤 방사선 구역에서 비파괴시험을 하고자 한다. 이지역의 방사선량률이 40mR/h일 때 1일 작업시간은 얼마 이내가 가장 적절한가? (단, 1일 허용선량은 20mR) 55 Ir-192의 방사능을 측정해보니 3Ci이었다. 10개월전 이 선원의 방사능은 약 얼마인가? 56 법령에서 규정한 피폭선량에서 과다피폭시 일반적으로 일차적인 검사방법으로 무엇을 검사하는가? 57 야외에서 1회에 5분씩 6회의 노출을 주어 6장의 방사선투과사진을 촬영하였다. 선량율이 10mR/h인 지역에서 촬영이 끝날 때까지 서 있었다면 피폭선량은 얼마나 되는가? 58 방사선발생장치의 사용에 관한 기술 기준의 설명으로 틀린것은? 59 원자력법에서 정한 방사선 작업종사자의 유효선량한도로 옳은 것은? 60 알루미늄관의 원둘레 용접부의 방사선투과 시험방법(KS D 0243)에 의하여 실측이 곤란한 용접부의 두가지 관 두께일 경우 어떻게 검사해야 하는가?
App Store Google Play
오늘학습 예시 이미지

시험에 합격하려면
복습을 제대로 해야 합니다.

오늘학습은 스스로 기억을 떠올리고 계획적으로 복습할 수 있도록 설계돼 있어요.
그것도, 가장 과학적인 방식으로요!

능동적 회상

능동적 회상
(Active Recall)

배운 내용을 단순 읽으며 반복하는 것이 아니라,
능동적으로 기억하고 있는지를
스스로 테스트하며
공부할 수 있는
학습 환경을 제공해 학습 효과를 높여요

간격 반복 학습

간격 반복 학습
(Spaced Repetition)

에빙하우스 망각곡선을 바탕으로
가장 최적의 시점에 복습을 제공하여
배운 내용이 잊히지 않도록 장기 기억화해요

Data 기반의
뇌과학적 복습 시스템

학습 결과 Data를 분석해, 문제별 최적화된
반복 학습량을
자동으로 분배해요.
학습에 소요되는 시간을 최소화하는
동시에
단기 기억을 장기 기억으로 전환해줘요.

36만 개 이상의
기출문제 무료 제공

공무원 및 약 300여종의 자격증 시험 기출문제
36만개
이상을 무료로 이용할 수 있어요.
여러 앱을 설치할 필요
없이, 오늘학습 하나로
모든 시험을 준비할 수 있어요.

다양한 문제 유형으로 만드는
나만의 단어장&문제집

기출 외에도 외워야 하는 내용은
객관식, 주관식, 카드, 빈칸
등 다양한 형식으로
직접 만들어 보세요. 내 학습 스타일에
맞게
나만의 단어장과 문제집을 만들 수 있어요.

시험별 체계적인
문제 관리

시험에 문제를 추가해 체계적으로
관리할 수 있어요.
주제나 단원별로
분류하고 싶다면,
시험에 챕터를 만들어
문제를 추가할 수도 있어요.

수십만 명이
오늘학습을 사랑합니다

앱 스토어 평점 4.9
구글 플레이 평점 4.8
누적 회원수 100,000+
지금 오늘학습을
시작해보세요
지금 시작하기
문제 선택