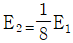
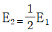
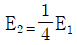
중실축에서 동일한 비틀림 모멘트를 작용시킬 때 지름이 2d에서 저장되는 탄성에너지가 E2, 지름이 d에서 저장되는 탄성에너지가 E1 일 때, E1과 E2의 관계로 옳은 것은? (단, 지름 외의 조건은 동일하다.)
지금 시작하기 →

・・・ 문제은행 자동차정비기사(2021년 2회) 1번

자동차정비기사 2021년 05월 1번

중실축에서 동일한 비틀림 모멘트를 작용시킬 때 지름이 2d에서 저장되는 탄성에너지가 E2, 지름이 d에서 저장되는 탄성에너지가 E1 일 때, E1과 E2의 관계로 옳은 것은? (단, 지름 외의 조건은 동일하다.)

1
2
3
4
단축키
이전 문제로 이동은 키를 누르고, 다음 문제로 이동은 키를 누르세요
이전 문제 , 다음 문제
문제(100)
13 길이 4m인 단순보의 중앙에 1000N의 집중하중이 작용할 때, 최대 굽힘 모멘트(N·m)는? 14 비절삭 가공에 해당하는 것은? 15 나사의 종류 중 정밀기계 이송나사에 사용되는 것은? 16 새들 키라고도 하며, 축에 키 홈 가공을 하지 않고 보스에만 키 홈을 가공한 것은? 17 6ㆍ4 황동에 Sn을 1% 정도 첨가한 합금으로 선박 기계용, 스프링용, 용접용 재료 등에 많이 사용되는 특수 황동은? 18 두 축이 평행하고 축의 중심선이 약간 어긋났을 때 각속도의 변동 없이 토크를 전달하는데 사용하는 축 이음은? 19 연강봉의 단면적이 40mm2, 온도변화가 20℃일 때, 20kN의 힘이 필요하다면, 선팽창계수는 약 얼마인가? (단, 재료의 세로탄성계수는 210GPa이다.) 20 인장강도가 200N/m2인 연강봉을 안전하게 사용하기 위한 최대허용응력(Pa)은? (단, 봉의 안전율은 4로 한다.) 21 보일러, 터빈, 응축기, 펌프로 구성되어 사이클이다. 있는 증기원동소가 있다. 보일러에서 2500㎾의 열이 발생하고 터빈에서 550㎾의 일을 발생시킨다. 또한, 펌프를 구동하는데 20㎾의 동력이 추가로 소모 된다면 응축기에서의 방열량은 약 몇 ㎾인가? 22 압력 100kPa, 온도 20℃인 일정량의 이상기체가 있다. 압력을 일정하게 유지하면서 부피가 처음 부피가 2배가 되었을 때 기체의 온도는 약 몇 ℃가 되는가? 23 질량이 5㎏인 강제 용기 속에 물이 20L 들어있다. 용기와 물이 24℃인 상태에서 이 속에 질량이 5㎏이고 온도가 180℃인 어떤 물체를 넣었더니 일정 시간 후 온도가 35℃가 되면서 열평형에 도달하였다. 이때 이 물체의 비열은 약 몇 kJ/(㎏·K) 인가? (단, 물의 비열은 4.2kJ/(㎏·K), 강의 비열은 0.46kJ/(㎏·K)이다.) 24 어떤 열기관이 550K의 고열원으로부터 20kJ의 열량을 공급받아 250K의 저열원에 14kJ의 열량을 방출할 때 이 사이클의 Clausius 적분값과 가역, 비가역 여부의 설명으로 옳은 것은?
25 시스템 내의 임의의 이상기체 1㎏이 재워져 있다. 이 기체의 정압비열은 1.0kJ/(㎏·K)이고, 초기 온도가 50℃인 상태에서 323kJ의 열량을 가하여 팽창시킬 때 변경 후 체적은 변경 전 체적의 약 몇 배가 되는가? (단, 정압과정으로 팽창한다.) 26 어느 왕복동 내연기관에서 실린더 안지름이 6.8cm, 행정이 8cm일 때 평균유효압력은 1200kPa이다. 이 기관의 1행정당 유효 일은 약 몇 kJ인가? 27 복사열을 방사하는 방사율과 면적이 같은 2개의 방열판이 있다. 각각의 온도가 A 방열판은 120℃, B 방열판은 80℃일 때 두 방열판의 복사 열전달량(QA/QB)비는? 28 완전히 단열된 실린더 안의 공기가 피스톤을 밀어 외부로 일을 하였다. 이때 외부로 행한 일의 양과 동일한 값(절대값 기준)을 가지는 것은? 29 오토 사이클로 작동되는 기관에서 실린더의 극간 체적(clearance volume)이 행정 체적(stroke volume)의 15%라고 하면 이론 열효율은 약 얼마인가? (단, 비열비 k=1.4이다.) 30 이상적인 오토사이클의 열효율이 56.5%이라면 압축비는 약 얼마인가? (단, 작동 유체의 비열비는 1.4로 일정하다.) 31 카르노사이클로 작동되는 열기관이 200kJ의 열을 200℃에서 공급받아 20℃에서 방출한다면 이 기관의 일은 약 얼마인가? 32 4㎏의 공기를 온도 15℃에서 일정 체적으로 가열하여 엔트로피가 3.35kJ/K 증가하였다. 이때 온도는 약 몇 K인가? (단, 공기의 정적비열은 0.717kJ/(㎏·K)이다.) 33 열역학 제2법칙과 관계된 설명으로 가장 옳은 것은? 34 유리창을 통해 실내에서 실외로 열전달이 일어난다. 이때 열전달량은 약 몇 W인가? (단, 대류열전달계수는 50W/(m2·K), 유리창 표면온도는 25℃, 외기온도는 10℃, 유리창 면적은 2m2이다.) 35 실린더에 밀폐된 8㎏의 공기가 그림과 같이 압력 P1 = 800kPa, 체적 V1 = 0..27m3에서 P2 = 350kPa, V2 = 0.80m3으로 직선 변화 하였다. 이 과정에서 공기가 한 일은 약 몇 kJ인가? 36 상태 1에서 경로 A를 따라 상태 2로 변화하고 경로 B를 따라 다시 상태 1로 돌아오는 가역사이클이 있다. 아래의 사이클에 대한 설명으로 틀린 것은?
61 자동변속기의 토크 컨버터 구성요소가 아닌 것은? 62 제4속 감속비가 1이고, 종 감속비가 6인 자동차의 엔진을 1800rpm으로 회전시켰다. 이때 왼쪽 바퀴는 고정시키고, 오른쪽 바퀴만 회전시킬 때 오른쪽 바퀴의 회전수(rpm)는? 63 자동차용 BCM(Body Control Module)이 일반적으로 제어하지 않는 것은? 64 고압 타이어의 안지름이 20인치, 바깥지 름이 32인치, 폭 6인치, 플라이수(PR) 10인 경우 호칭치수를 바르게 표시한 것은? 65 자동변속기 장착 차량의 토크 컨버터(torque converter)스톨 시험방법 및 판단 으로 옳은 것은? 66 자동변속기에 사용하는 오버드라이브 유성기어의 주요 구성품은? 67 타이어 트레드의 내측에 편마모가 일어나게 되는 주요 원인으로 옳은 것은? 68 유압식 동력조향장치에서 조향 휠을 한쪽으로 완전히 돌렸을 때 엔진의 회전수가 500rpm 정도로 떨어지는 원인으로 가장 적절한 것은? 69 클러치 압력판의 압력이 2.5kgf/cm2일 때 클러치의 전달 회전력(kgf·m)은? (단, 클러치 페이싱 내력은 14㎝, 외경은 20㎝이고 마찰계수는 0.4이다.) 70 자동차용 계기장치에 대한 설명으로 옳은 것은? 71 ABS(Anti-lock Brake System)에서 하이드 롤릭 유닛은 최종적으로 어느 부분의 압력을 조절하는가? 72 제동 안전장치 중 후륜 쪽의 브레이크 유압을 적재 하중에 따라 조절하는 것은?
App Store Google Play
오늘학습 예시 이미지

시험에 합격하려면
복습을 제대로 해야 합니다.

오늘학습은 스스로 기억을 떠올리고 계획적으로 복습할 수 있도록 설계돼 있어요.
그것도, 가장 과학적인 방식으로요!

능동적 회상

능동적 회상
(Active Recall)

배운 내용을 단순 읽으며 반복하는 것이 아니라,
능동적으로 기억하고 있는지를
스스로 테스트하며
공부할 수 있는
학습 환경을 제공해 학습 효과를 높여요

간격 반복 학습

간격 반복 학습
(Spaced Repetition)

에빙하우스 망각곡선을 바탕으로
가장 최적의 시점에 복습을 제공하여
배운 내용이 잊히지 않도록 장기 기억화해요

Data 기반의
뇌과학적 복습 시스템

학습 결과 Data를 분석해, 문제별 최적화된
반복 학습량을
자동으로 분배해요.
학습에 소요되는 시간을 최소화하는
동시에
단기 기억을 장기 기억으로 전환해줘요.

36만 개 이상의
기출문제 무료 제공

공무원 및 약 300여종의 자격증 시험 기출문제
36만개
이상을 무료로 이용할 수 있어요.
여러 앱을 설치할 필요
없이, 오늘학습 하나로
모든 시험을 준비할 수 있어요.

다양한 문제 유형으로 만드는
나만의 단어장&문제집

기출 외에도 외워야 하는 내용은
객관식, 주관식, 카드, 빈칸
등 다양한 형식으로
직접 만들어 보세요. 내 학습 스타일에
맞게
나만의 단어장과 문제집을 만들 수 있어요.

시험별 체계적인
문제 관리

시험에 문제를 추가해 체계적으로
관리할 수 있어요.
주제나 단원별로
분류하고 싶다면,
시험에 챕터를 만들어
문제를 추가할 수도 있어요.

수십만 명이
오늘학습을 사랑합니다

앱 스토어 평점 4.9
구글 플레이 평점 4.8
누적 회원수 100,000+
지금 오늘학습을
시작해보세요
지금 시작하기
문제 선택