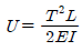
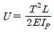
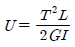
원형 단면축이 비틀림을 받을 때, 그 속에 저장되는 탄성 변형에너지 U는 얼마인가?(단, T : 토크, L : 길이, G : 가로탄성계수, IP: 극관성모멘트, I : 관성모멘트, E : 세로 탄성계수이다.)
지금 시작하기 →

・・・ 문제은행 일반기계기사(2018년 2회) 1번

일반기계기사 2018년 04월 1번

원형 단면축이 비틀림을 받을 때, 그 속에 저장되는 탄성 변형에너지 U는 얼마인가?(단, T : 토크, L : 길이, G : 가로탄성계수, IP: 극관성모멘트, I : 관성모멘트, E : 세로 탄성계수이다.)

1
2
3
4
단축키
이전 문제로 이동은 키를 누르고, 다음 문제로 이동은 키를 누르세요
이전 문제 , 다음 문제
문제(100)
1 원형 단면축이 비틀림을 받을 때, 그 속에 저장되는 탄성 변형에너지 U는 얼마인가?(단, T : 토크, L : 길이, G : 가로탄성계수, IP: 극관성모멘트, I : 관성모멘트, E : 세로 탄성계수이다.) 2 그림과 같은 전길이에 걸쳐 균일 분포하중 ω를 받는 보에서 최대처짐 δmax를 나타내는 식은? (단, 보의 굽힘 강성계수는 EI 이다.) 3 그림과 같은 보에서 발생하는 최대굽힘 모멘트는 몇 kN∙m 인가? 4 그림의 H형 단면의 도심축인 Z축에 관한 회전반경(radius of gyration)은 얼마인가?(오류 신고가 접수된 문제입니다. 반드시 정답과 해설을 확인하시기 바랍니다.) 5 그림에 표시한 단순 지지보에서의 최대 처짐량은? (단, 보의 굽힘 강성은 EI이고, 자중은 무시한다.) 6 그림에서 784.8N과 평형을 유지하기 위한 힘 F1과 F2는? 7 지름이 60mm인 연강축이 있다. 이 축의 허용전단응력은 40MPa이며 단위길이 1m당 허용 회전각도는 1.5° 이다. 연강의 전단 탄성계수를 80GPa이라 할 때 이 축의 최대 허용 토크는 약 몇 N∙m 인가? (단, 이 코일에 작용하는 힘은 P, 가로탄성게수는 G이다.) 8 지름 3cm인 강축이 26.5 rev/s의 각속도로 26.5kW의 동력을 전달하고 있다. 이 축에 발생하는 최대 전단응력은 약 몇 MPa 인가? 9 폭 3cm, 높이 4cm의 직사각형 단면을 갖는 외팔보가 자유단에 그림에서와 같이 집중하중을 받을 때 보 속에 발생하는 최대전단응력은 몇 N/cm2인가? 10 평면 응력 상태에서 εx=-150×10-6, εy=-280 ×10-6, rxy=850×10-6일 때, 최대주변형률(ε1)과 최소주변형률(ε2)은 각각 약 얼마인가?(오류 신고가 접수된 문제입니다. 반드시 정답과 해설을 확인하시기 바랍니다.) 11 길이 6m 인 단순 지지보에 등분포하중 q가 작용할 때 단면에 발생하는 최대 굽힘응력이 337.5MPa이라면 등분포하중 q는 약 몇 kN/m인가? (단, 보의 단면은 폭 x 높이 = 40mm x 100 mm 이다.) 12 보의 자중을 무시할 때 그림과 같이 자유단 C에 집중하중 2P가 작용할 때 B점에서 처짐 곡석의 기울기각은?
13 그림과 같은 외팔보에 대한 전단력 선도로 옳은 것은? (단, 아랫방향을 양(+)으로 본다.) 14 그림과 같이 길이가 동일한 2개의 기둥 상단에 중심 압축 하중 2500N이 작용할 경우 전체 수축량은 약 몇 mm인가? (단, 단면적 A1= 1000mm2, A2= 2000mm2, 길이 L=300mm, 재료의 탄성계수 E= 90GPa 이다.) 15 최대 사용강도 400MPa의 연강봉에 30kN의 축방향의 인장하중이 가해질 경우 강봉의 최소지름은 몇 cm까지 가능한가? (단, 안전율은 5이다.) 16 그림과 같이 A, B의 원형 단면봉은 길이가 같고, 지름이 다르며, 양단에서 같은 압축하중 P를 받고 있다. 응력은 각 단면에서 균일하게 분포된다고 할 때 저장되는 탄성 변형 에너지의 는 얼마가 되겠는가? 17 다음과 같이 3개의 링크를 핀을 이용하여 연결하였다. 2000N의 하중 P가 작용할 경우 핀에 작용되는 전단응력은 약 몇 MPa인가? (단, 핀의 직경은 1cm이다.) 18 원통형 압력용기에 내압 P가 작용할 때, 원통부에 발생하는 축 방향의 변형률 εx 및 원주 방향 변형률 εy는? (단, 강판의 두께 t는 원통의 지름 D에 비하여 충분히 작고, 강판 재료의 탄성계수 및 포아송 비는 각 E,v이다.) 19 지름 20 mm, 길이 1000 mm의 연강봉이 50kN의 인장하중을 받을 때 발생하는 신장량은 약 몇 mm인가? (단, 탄성계수 E = 210GPa이다.) 20 지름이 0.1m이고 길이가 15m인 양단힌지인 원형강 장주의 좌굴임계하중은 약 몇 kN인가? (단, 장주의 탄성계수는 200GPa이다.) 21 온도 150℃, 압력 0.5MPa의 공기 0.2kg이 압력이 일정한 과정에서 원래 체적의 2배로 늘어난다. 이 과정에서의 일은 약 몇 kJ인가? (단, 공기는 기체상수가 0.287kJ/(kg∙K)인 이상기체로 가정한다.) 22 마찰이 없는 실린더 내에 온도 500K, 비엔트로피 3kJ/(kg∙K)인 이상기체가 2kg 들어있다. 이 기체의 비엔트로피가 10kJ/(kg∙K)이 될 때까지 등온괴정으로 가열한다면 가열량은 약 몇 kJ인가? 23 랭킨 사이클의 열효율을 높이는 방법으로 틀린 것은? 24 유체의 교축과정에서 Joule-Thomson 계수 (μJ)가 중요하게 고려되는데 이에 대한 설명으로 옳은 것은?
25 이상적인 카르노 사이클의 열기관이 500℃인 열원으로부터 500 kJ을 받고, 25℃에 열을 방출한다. 이 사이클의 일(W)과 효율(nth)은 얼마인가? 26 Brayton 사이클에서 압축기 소요일은 175 kJ/kg, 공급열은 627 kJ/kg, 터빈 발생일은 406 kJ/kg로 작동될 때 열효율은 약 얼마인가? 27 그림과 같이 다수의 추를 올려놓은 피스톤이 장착된 실린더가 있는데, 실린더 내의 압력은 300 kPa, 초기 체적은 0.05m3이다. 이 실린더에 열을 가하면서 적절히 추를 제거하여 포리트로픽 지수가 1.3인 폴리트로픽 변화가 일어나도록 하여 최종적으로 실린더 내의 체적이 0.2m3이 되었다면 가스가 한 일은 약 몇 kJ인가? 28 다음의 열역학 상태량 중 종량적 상태량(extensive property)에 속하는 것은? 29 피스톤-실린더 장치 내에 공기가 0.3m3에서 0.1m3으로 압축되었다. 압축되는 동안 압력(P)과 체적(V) 사이에 p = aV-2의 관계가 성립하며, 계수 a = 6kPa∙m6이다. 이 과정 동안 공기가 한 일은 약 얼마인가? 30 매시간 20kg의 연료를 소비하여 74kW의 동력을 생산하는 가솔린 기관의 열효율은 약몇 %인가? (단, 가솔린의 저위발열량은 43470kJ/kg이다.) 31 다음 중 이상적인 증기 터빈의 사이클인 랭킨사이클을 옳게 나타낸 것은? 32 내부 에너지가 30kJ인 물체에 열을 가하여 내부 에너지가 50kJ이 되는 동안에 외부에 대하여 10kJ의 일을 하였다. 이 물체에 가해진 열량은? 33 천제연 폭포의 높이가 55m이고 주위와 열교환을 무시한다면 폭포수가 낙하한 후 수면에 도달할 때까지 온도 상승은 약 몇 K인가? (단, 폭포수의 비열은 4.2kJ/(kg∙K) 이다.) 34 어떤 카르노 열기관이 100℃ 와 30℃ 사이에서 작동되며 100℃의 고온에서 100 kJ의 열을 받아 40kJ의 유용한 일을 한다면 이 열기관에 대하여 가장 옳게 설명한 것은? 35 증기 압축 냉동 사이클로 운전하는 냉동기에서 압축기 입구, 응축기 입구, 증발기 입구의 엔탈피가 각각 387.2kJ/kg, 435.1kJ/kg, 241.8kJ/kg일 경우 성능계수는 약 얼마인가?(오류 신고가 접수된 문제입니다. 반드시 정답과 해설을 확인하시기 바랍니다.) 36 온도 20℃에서 계기압력 0.183MPa의 타이어가 고속주행으로 온도 80℃로 상승할 때 압력은 주행 전과 비교하여 약 몇 kPa 상승하는가? (단, 타이어의 체적은 변하지 않고, 타이어 내의 공기는 이상기체로 가정한다. 그리고 대기압은 101.3kPa이다.)
37 온도가 T1인 고열원으로부터 온도가 T2인 저열원으로 열전도, 대류, 복사 등에 의해 Q만큼 열전달이 이루어졌을 때 전체 엔트로피 변화량을 나타내는 식은? 38 1 kg의 공기가 100℃ 를 유지하면서 가역등온팽창하여 외부에 500kJ의 일을 하였다. 이 때 엔트로피의 변화량은 약 몇 kJ/K인가? 39 습증기 상태에서 엔탈피 h를 구하는 식은? (단, hf는 포화액의 엔탈피, hg 는 포화증기의 엔탈피, x는 건도이다.) 40 이상기체에 대한 관계식 중 옳은 것은? (단, Cp , Cv는 저압 및 정적 비열, k는 비열비이고, R은 기체 상수이다.) 41 길이가 150m의 배가 10m/s의 속도로 항해하는 경우를 길이 4m의 모형 배로 실험하고자 할 때 모형 배의 속도는 약 몇 m/s로 해야 하는가? 42 그림과 같은 수문(폭x높이 = 3m x 2m)이 있을 경우 수문에 작용하는 힘의 작용점은 수면에서 몇 m 깊이에 있는가? 43 흐르는 물의 속도가 1.4m/s일 때 속도 수두는 약 몇 m인가? 44 다음의 무차원수 중 개수로와 같은 자유표면 유동과 가장 밀접한 관련이 있는 것은? 45 x, y평면의 2차원 비압축성 유동장에서 유동함수(stream function) 는 =3xy로주어진다. 점 (6, 2)과 점 (4, 2)사이를 흐르는 유량은? 46 원통 속의 물이 중심축에 대하여 ω의 각속도로 강체와 같이 등속회전하고 있을 때 가장 압력이 높은 지점은? 47 개방된 탱크 내에 비중이 0.8인 오일이 가득차 있다. 대기압이 101 kPa라면, 오일탱크 수면으로부터 3m 깊이에서 절대압력은 약 몇 kPa인가? 48 그림과 같이 물이 고여있는 큰 댐 아래에 터빈이 설치되어 있고, 터빈의 효율이 85%이다. 터빈 이외에서의 다른 모든 손실을 무시할 때 터빈의 출력은 약 몇 kW인가? (단, 터빈 출구관의 지름은 0.8m, 출구속도 V는 10m/s이고 출구압력은 대기압이다.)
49 2차원 정상유동의 속도 방정식이 V=3(-xi+yj)라고 할 때, 이 유동의 유선의 방정식은? (단, C는 상수를 의미한다.) 50 지름 2cm의 노즐을 통하여 평균속도 0.5m/s로 자동차의 연료 탱크에 비중 0.9인 휘발유 20kg 채우는데 걸리는 시간은 약 몇 s 인가? 51 체적탄성계수가 2.086GPa인 기름의 체적을 1% 감소시키려면 가해야 할 압력은 몇 Pa인가? 52 경계층의 박리(separation)현상이 일어나기 시작하는 위치는? 53 원관 내에 완전발달 층류유동에서 유량에 대한 설명으로 옳은 것은? 54 표면장력의 차원으로 맞는 것은? (단, M : 질량, L : 길이, T : 시간) 55 수평으로 놓인 안지름 5 cm인 곧은 원관속에서 점성계수 0.4Pa∙s의 유체가 흐르고 있다. 관의 길이 1m당 압력강하가 8 kPa이고 흐름 상태가 층류일 때 관 중심부에서의 최대 유속(m/s)은? 56 그림과 같이 비중 0.8인 기름이 흐르고 있는 개수로에 단순 피토관을 설치하였다. Δh=20mm, h=30mm일 때 속도 V는 약 몇 m/s 인가? 57 벽면에 평행한 방향의 속도(u) 성분만이 있는 유동장에서 전단응력을 τ, 점성 계수를 μ, 벽면으로부터의 거리를 y로 표시하면 뉴턴의 점성법칙을 옳게 나타낸 식은? 58 여객기가 888km/h 로 비행하고 있다. 엔진의 노즐에서 연소가스를 375m/s로 분출하고, 엔진의 흡기량과 배출되는 연소가스의 양은 같다고 가정하면 엔진의 추진력은 약 몇N인가? (단, 엔진의 흡기량은 30kg/s이다.) 59 구형 물체 중위의 비압축성 점성 유체의 흐름에서 유속이 대단히 느릴 때(레이놀즈수가 1보다 작을 경우) 구형 물체에 작용하는 항력 Dr은? (단, 구의 지름은 d, 유체의 점성계수를 μ, 유체의 평균속도를 V라 한다.) 60 지름이 10mm의 매끄러운 관을 통해서 유량 0.02L/s의 물이 흐를 때 길이 10m에 대한 압력손실은 약 몇 Pa 인가?(단, 물의 동점성계수는 1.4×10-6 이다.
73 다음 유압회로는 어떤 회로에 속하는가? 74 유압모터의 종류가 아닌 것은? 75 유압 베인 모터의 1회전 당 유량이 50cc일 때, 공급 압력을 800 N/cm2 , 유량을 30L/min 으로 할 경우 베인 모터의 회전수는 약 몇 rpm인가? (단, 누설량은 무시한다.) 76 그림과 같은 유압 잭에서 지름이 D2=2D1일 때 누르는 힘 F1과 F2의 관계를 나타낸 식으로 옳은 것은? 77 다음 어큐뮬레이터의 종류 중 피스톤 형의 특징에 대한 설명으로 가장 적절하지 않는 것은? 78 주로 펌프의 흡입구에 설치되어 유압작동유의 이물질을 제거하는 용도로 사용하는 기기는? 79 카운터 밸런스 밸브에 관한 설명으로 옳은 것은? 80 유압 기본회로 중 미터인 회로에 대한 설명으로 옳은 것은? 81 압축된 스프링으로 100g의 추를 밀어올려 위에 있는 종을 치는 완구를 설계하려고 한다. 스프링 상수가 80N/m라면 종을 치게 하기 위한 최소의 스프링 압축량은 약 몇 cm인가? (단, 그림의 상태는 스프링이 전혀 변형되지 않은 상태이며 추가 종을 칠 때는 이미 추와 스프링은 분리된 상태이다. 또한 중력은 아래로 작용하고 스프링의 질량은 무시한다.) 82 그림과 같은 진동계에서 무게 W는 22.68N, 댐핑계수 C는 0.0579N∙s/cm, 스프링 정수K가 0.357N/cm일 때 감쇠비(damping ratio)는 약 얼마인가? 83 경사면에 질량 M의 균일한 원기둥이 있다. 이 원기둥에 감겨 있는 실을 경사면과 동일한 방향으로 위쪽으로 잡아당길 때, 미끄럼이 일어나지 않기 위한 실의 장력 T의 조건은? (단, 경사면의 각도를 α, 경사면과 원기둥사이의 마찰계수를 μs, 중력가속도를 g라 한다.) 84 펌프가 견고한 지면 위의 네 모서리에 하나씩 총 4개의 동일한 스프링으로 지지되어 있다. 이 스프링의 정적 처짐이 3cm일 때, 이 기계의 고유진동수는 약 몇 Hz인가?
85 그림과 같이 2개의 질량이 수평으로 놓인 마찰이 없는 막대 위를 미끄러진다. 두 질량의 반발계수가 0.6일 때 충동 후 A의 속도(uA)와 B의 속도(uB)로 옳은 것은? 86 다음 설명 중 뉴턴(Newton)의 제 1법칙으로 맞는 것은? 87 그림과 같은 질량은 3kg인 원판의 반지름이 0.2m일 때, x-x`축에 대한 질량관성모멘트의 크기는 약 몇 kg∙m2인가? 88 공을 지면에서 수직방향으로 9.81m/s의 속도로 던져졌을 때 최대 도달 높이는 지면으로부터 약 몇 m인가? 89 엔진(질량 m)의 진동이 공장바닥에 직접 전달될 때 바닥에는 힘이 Fo sinωt로 전달된다. 이 때 전달되는 힘을 감소시키기 위해 엔진과 바닥 사이에 스프링(스프링상수k)과 댐퍼(감쇠계수 c)를 달았다. 이를 위해 진동계의 고유진동수(ωn)와 외력의 진동수(ω)는 어떤 관계를 가져야 하는가? (단, 이고, t는 시간을 의미한다.) 90 그림(a)를 그림(b)와 같이 모형화 했을 때 성립되는 관계식은? 91 사형(砂型)과 금속형(金屬型)을 사용하며 내마모성이 큰 주물을 제작할 때 표면은 백주철이 되고 내부는 회주철이 되는 주조 방법은? 92 불활성 가스가 공급되면서 용가재인 소모성 전극와이어를 연속적으로 보내서 아크를 발생시켜 용접하는 불활성 가스 아크 용접법은? 93 절삭 공구에 발생하는 구성 인선의 방지법이 아닌 것은? 94 압연가공에서 압하율을 나타내는 공식은? (단, Ho는 압연전의 두께, H1 은 압연후의 두께이다.) 95 0℃이하의 온도에서 냉각시키는 조직으로 공구강의 경도가 증가 및 성능을 향상시킬 수 있으며, 담금질된 오스테나이트를 마텐자이트화하는 열처리법은? 96 연삭가공을 한 후 가공표면을 검사한 결과 연삭 크랙(crack)이 발생되었다. 이 때 조치하여야 할 사항으로 옳지 않은 것은?
App Store Google Play
오늘학습 예시 이미지

시험에 합격하려면
복습을 제대로 해야 합니다.

오늘학습은 스스로 기억을 떠올리고 계획적으로 복습할 수 있도록 설계돼 있어요.
그것도, 가장 과학적인 방식으로요!

능동적 회상

능동적 회상
(Active Recall)

배운 내용을 단순 읽으며 반복하는 것이 아니라,
능동적으로 기억하고 있는지를
스스로 테스트하며
공부할 수 있는
학습 환경을 제공해 학습 효과를 높여요

간격 반복 학습

간격 반복 학습
(Spaced Repetition)

에빙하우스 망각곡선을 바탕으로
가장 최적의 시점에 복습을 제공하여
배운 내용이 잊히지 않도록 장기 기억화해요

Data 기반의
뇌과학적 복습 시스템

학습 결과 Data를 분석해, 문제별 최적화된
반복 학습량을
자동으로 분배해요.
학습에 소요되는 시간을 최소화하는
동시에
단기 기억을 장기 기억으로 전환해줘요.

36만 개 이상의
기출문제 무료 제공

공무원 및 약 300여종의 자격증 시험 기출문제
36만개
이상을 무료로 이용할 수 있어요.
여러 앱을 설치할 필요
없이, 오늘학습 하나로
모든 시험을 준비할 수 있어요.

다양한 문제 유형으로 만드는
나만의 단어장&문제집

기출 외에도 외워야 하는 내용은
객관식, 주관식, 카드, 빈칸
등 다양한 형식으로
직접 만들어 보세요. 내 학습 스타일에
맞게
나만의 단어장과 문제집을 만들 수 있어요.

시험별 체계적인
문제 관리

시험에 문제를 추가해 체계적으로
관리할 수 있어요.
주제나 단원별로
분류하고 싶다면,
시험에 챕터를 만들어
문제를 추가할 수도 있어요.

수십만 명이
오늘학습을 사랑합니다

앱 스토어 평점 4.9
구글 플레이 평점 4.8
누적 회원수 100,000+
지금 오늘학습을
시작해보세요
지금 시작하기
문제 선택