진공 중 반지름이 a(m)인 무한길이의 원통 도체 2개가 간격 d(m)로 평행하게 배치되어 있다. 두 도체 사이의 정전용량(C)을 나타낸 것으로 옳은 것은?
지금 시작하기 →

・・・ 문제은행 전자기사(2022년 1회) 1번

전자기사 2022년 03월 1번

진공 중 반지름이 a(m)인 무한길이의 원통 도체 2개가 간격 d(m)로 평행하게 배치되어 있다. 두 도체 사이의 정전용량(C)을 나타낸 것으로 옳은 것은?

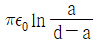
1
2
3
4
단축키
이전 문제로 이동은 키를 누르고, 다음 문제로 이동은 키를 누르세요
이전 문제 , 다음 문제
문제(100)
1 진공 중 반지름이 a(m)인 무한길이의 원통 도체 2개가 간격 d(m)로 평행하게 배치되어 있다. 두 도체 사이의 정전용량(C)을 나타낸 것으로 옳은 것은? 2 진공 중 한 변의 길이가 0.1m인 정삼각형의 3정점 A, B, C에 각각 2.0×10-6C의 점전하가 있을 때, 점 A의 전하에 작용하는 힘은 몇 N 인가? 3 진공 내 전위함수가 V = x2 + y2(V)로 주어졌을 때, 0≤x≤1, 0≤y≤1, 0≤z≤1인 공간에 저장되는 정전에너지(J)는? 4 자극의 세기가 7.4×10-5Wb, 길이가 10cm인 막대자석이 100AT/m의 평등자계 내에 자계의 방향과 30°로 놓여 있을 때 이 자석에 작용하는 회전력(N·m)은? 5 공기 중에서 1V/m의 전계의 세기에 의한 변위전류밀도의 크기를 2A/m2으로 흐르게 하려면 전계의 주파수는 몇 MHz 가 되어야 하는가? 6 반지름이 a(m)인 접지된 구도체와 구도체의 중심에서 거리 d(m) 떨어진 곳에 점전하게 존재할 때, 점전하에 의한 접지된 구도체에서의 영상전하에 대한 설명으로 틀린 것은? 7 투자율이 μ(H/m), 자계의 세기가 H(AT/m), 자속밀도가 B(Wb/m2)인 곳에서의 자계 에너지 밀도(J/m3)는? 8 z축 상에 놓인 길이가 긴 직선 도체에 10A의 전류가 +z 방향으로 흐르고 있다. 이 도체의 주위의 자속밀도가 Wb/m2 일 때 도체가 받는 단위 길이당 힘(N/m)은? (단, 는 단위벡터이다.) 9 평행 극판 사이의 간격이 d(m)이고 정전용량이 0.3μF인 공기 커패시터가 있다. 그림과 같이 두 극판 사이에 비유전율이 5인 유전체를 절반 두께 만큼 넣었을 때 이 커패시터의 정전용량은 몇 μF 이 되는가? 10 평등 전계 중에 유전체 구에 의한 전계 분포가 그림과 같이 되었을 때 ε1과 ε2의 크기 관계는?(문제 오류로 가답안 발표시 2번으로 발표되었지만 확정답안 발표시 모두 정답처리 되었습니다. 여기서는 가답안인 2번을 누르면 정답 처리 됩니다.) 11 진공 중에 4m 간격으로 평행한 두 개의 무한 평판 도체에 각각 +4 C/m2, -4 C/m2의 전하를 주었을 때, 두 도체 간의 전위차는 약 몇 V 인가? 12 내부 원통 도체의 반지름이 a(m), 외부 원통 도체의 반지름이 b(m)인 동축 원통 도체에서 내외 도체 간 물질의 도전율이 σ(℧/m)일 때 내외 도체 간의 단위 길이당 컨덕턴스(℧/m)는?
13 어떤 도체에 교류 전류가 흐를 때 도체에서 나타나는 표피 효과에 대한 설명으로 틀린 것은? 14 진공 중에 4m의 간격으로 놓여진 평행 도선에 같은 크기의 왕복 전류가 흐를 때 단위 길이당 2.0×10-7N의 힘이 작용하였다. 이때 평행 도선에 흐르는 전류는 몇 A 인가? 15 인덕턴스(H)의 단위를 나타낸 것으로 틀린 것은? 16 유전율이 ε = 2ε0이고 투자율이 μ0인 비도선성 유전체에서 전자파의 전계의 세기가 V/m 일 때, 자계의 세기 H(A/m)는? (단, 는 단위벡터이다.) 17 자기회로에서 전기회로의 도전율 σ(℧/m)에 대응되는 것은? 18 단면적이 균일한 환상철심에 권수 1000회인 A코일과 권수 NB회인 B 코일이 감겨져 있다. A코일의 자기 인덕턴스가 100mH이고, 두 코일 사이의 상호 인덕턴스가 20mH이고, 결합계수가 1일 때, B코일의 권수(NB)는 몇 회인가? 19 전계가 유리에서 공기로 입사할 때 입사각 θ1과 굴절각 θ2의 관계와 유리에서의 전계 E1과 공기에서의 전계 E2의 관계는? 20 면적이 0.02m2, 간격이 0.03m이고, 공기로 채워진 평행평판의 커패시터에 1.0×10-6C의 전하를 충전시킬 때, 두 판 사이에 작용하는 힘의 크기는 약 몇 N 인가? 21 다음 임피던스 파라미터 중 출력 개방 전달 임피던스는? 22 직류 전압원에 저항 R을 접속하였을 때 흐르는 전류를 30% 증가시키기 위해서는 저항값을 약 얼마로 변경시켜야 하는가? 23 그림과 같은 페이저도(phasor diagram)가 있을 때, 등가 임피던스는? 24 다음 회로에서 어드미턴스 파라미터 Y11은?
37 다음 회로의 필터 종류는? 38 내부에 기전력 E1, E2, …, En을 포함하는 회로망A의 출력 단자 a-b 사이에서 바라본 테브닌 전압을 ET, 테브닌 임피던스를 ZT라고 할 때, 부하 Z에 흐르는 전류 I는? 39 회로망 함수가 그림과 같이 2개 극점과 1개의 영점을 가질 때, 시간영역 f(t)로 옳은 것은? 40 시정수 τ인 RL 직렬회로에 t = 0 에서 직류전압을 가하였을 때 t = 4τ에서의 회로전류는 정상치의 약 몇 % 인가? (단, 초기치는 0으로 한다.) 41 다음 저역통과필터회로의 임계주파수는 약 몇 kHz 인가? (단, R1=R=1kΩ, R2=10kΩ, C=20nF 이다.) 42 RC 결합 증폭기에서 구형파 전압을 입력시켜 다음과 같은 출력이 나온다면 이 증폭기의 주파수 특성은? 43 이상적인 연산 증폭기의 특징 중 틀린 것은? 44 다이오드 직선 검파회로에서 변조도 50%, 진폭 10√2 V 인 피변조파가 인가되었을 때, 부하저항에 나타나는 변조 신호파 출력전압은? (단, 검파 효율은 80% 이다.) 45 그림(b)는 회로(a)에 대한 직류 및 교류 부하선을 나타낸 것이다. 회로(a)의 부하저항 RL의 값은 약 몇 kΩ 인가? (단, C1, C2는 교류적으로 단락이다.) 46 두 입력단에 입력되는 신호의 절댓값이 큰 극성에 따라 출력이 나타나며, 부귀환이 없는 무한이득을 사용하는 회로는? 47 다음과 같은 비안정 멀티바이브레이터의 출력(VO1, VO2) 발진주파수는 약 몇 kHz 인가? (단, R1=R2=47kΩ, RC=560Ω, C1=C2=0.01μF 이다.) 48 전압증폭도 Av = 5000인 증폭기에 부귀환을 걸 때 전압 증폭도 Af = 40이 되었다. 이때 귀환율 β는?
App Store Google Play
오늘학습 예시 이미지

시험에 합격하려면
복습을 제대로 해야 합니다.

오늘학습은 스스로 기억을 떠올리고 계획적으로 복습할 수 있도록 설계돼 있어요.
그것도, 가장 과학적인 방식으로요!

능동적 회상

능동적 회상
(Active Recall)

배운 내용을 단순 읽으며 반복하는 것이 아니라,
능동적으로 기억하고 있는지를
스스로 테스트하며
공부할 수 있는
학습 환경을 제공해 학습 효과를 높여요

간격 반복 학습

간격 반복 학습
(Spaced Repetition)

에빙하우스 망각곡선을 바탕으로
가장 최적의 시점에 복습을 제공하여
배운 내용이 잊히지 않도록 장기 기억화해요

Data 기반의
뇌과학적 복습 시스템

학습 결과 Data를 분석해, 문제별 최적화된
반복 학습량을
자동으로 분배해요.
학습에 소요되는 시간을 최소화하는
동시에
단기 기억을 장기 기억으로 전환해줘요.

36만 개 이상의
기출문제 무료 제공

공무원 및 약 300여종의 자격증 시험 기출문제
36만개
이상을 무료로 이용할 수 있어요.
여러 앱을 설치할 필요
없이, 오늘학습 하나로
모든 시험을 준비할 수 있어요.

다양한 문제 유형으로 만드는
나만의 단어장&문제집

기출 외에도 외워야 하는 내용은
객관식, 주관식, 카드, 빈칸
등 다양한 형식으로
직접 만들어 보세요. 내 학습 스타일에
맞게
나만의 단어장과 문제집을 만들 수 있어요.

시험별 체계적인
문제 관리

시험에 문제를 추가해 체계적으로
관리할 수 있어요.
주제나 단원별로
분류하고 싶다면,
시험에 챕터를 만들어
문제를 추가할 수도 있어요.

수십만 명이
오늘학습을 사랑합니다

앱 스토어 평점 4.9
구글 플레이 평점 4.8
누적 회원수 100,000+
지금 오늘학습을
시작해보세요
지금 시작하기
문제 선택